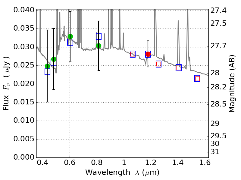
PLCKG287+32 IR detection object #1761

Color images and BPZ results
Catalog: 1761.cat
Black segments are analyzed here.   Roll mouse over color images to view segments.
Best viewed in a wide browser window (1200 pixels or more).   Download SED & P(z) plots to view larger versions.
In P(z) plots: Yellow lines mark the cluster redshift z = 0.390,  

Object #1761   x,y = (4125, 2924)   RA, Dec = (11:50:44.016, -28:04:40.08) = (177.68340, -28.07780)   BPZ = 0.361 [0.169--3.406]   type = 10.50 (SB11_A_0_l - SB3_B10)   stellarity = 0.00   chisq2 = 0.10   ODDS = 0.06   z_cluster = 0.390