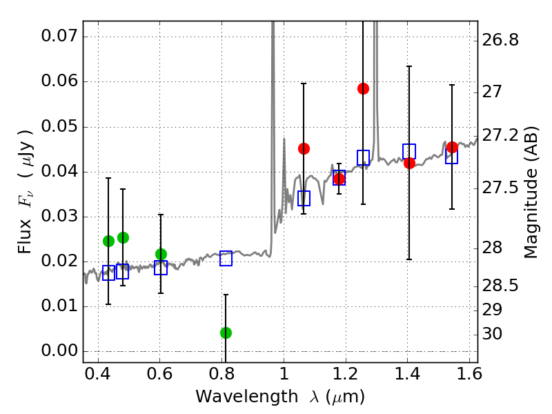
PLCKG287+32 IR detection object #1732

Color images and BPZ results
Catalog: 1732.cat
Black segments are analyzed here.   Roll mouse over color images to view segments.
Best viewed in a wide browser window (1200 pixels or more).   Download SED & P(z) plots to view larger versions.
In P(z) plots: Yellow lines mark the cluster redshift z = 0.390,  

Object #1732   x,y = (3115, 2648)   RA, Dec = (11:50:48.600, -28:04:56.64) = (177.70250, -28.08240)   BPZ = 1.587 [0.707--2.511]   type = 9.30 (SB2_B10 - SB3_B10)   stellarity = 0.00   chisq2 = 0.87   ODDS = 0.26   z_cluster = 0.390