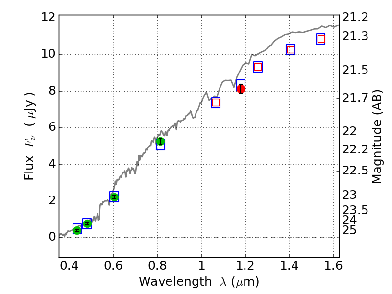
PLCKG287+32 IR detection object #1496

Color images and BPZ results
Catalog: 1496.cat
Black segments are analyzed here.   Roll mouse over color images to view segments.
Best viewed in a wide browser window (1200 pixels or more).   Download SED & P(z) plots to view larger versions.
In P(z) plots: Yellow lines mark the cluster redshift z = 0.390,  

Object #1496   x,y = (4085, 2807)   RA, Dec = (11:50:44.208, -28:04:46.92) = (177.68420, -28.07970)   BPZ = 0.352 [0.276--0.404]   type = 3.60 (Ell4_A_0 - Ell5_A_0)   stellarity = 0.03   chisq2 = 0.07   ODDS = 0.91   z_cluster = 0.390