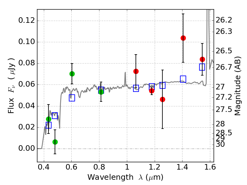
PLCKG287+32 IR detection object #1480

Color images and BPZ results
Catalog: 1480.cat
Black segments are analyzed here.   Roll mouse over color images to view segments.
Best viewed in a wide browser window (1200 pixels or more).   Download SED & P(z) plots to view larger versions.
In P(z) plots: Yellow lines mark the cluster redshift z = 0.390,  

Object #1480   x,y = (2697, 2839)   RA, Dec = (11:50:50.496, -28:04:45.12) = (177.71040, -28.07920)   BPZ = 3.250 [0.254--3.787]   type = 9.50 (SB3_B10 - SB2_B10)   stellarity = 0.68   chisq2 = 2.18   ODDS = 0.34   z_cluster = 0.390