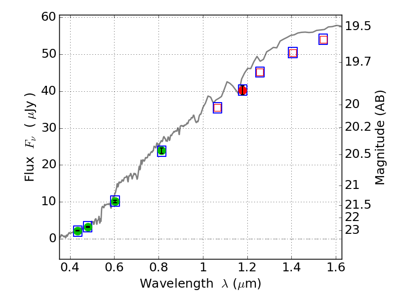
PLCKG287+32 IR detection object #1436

Color images and BPZ results
Catalog: 1436.cat
Black segments are analyzed here.   Roll mouse over color images to view segments.
Best viewed in a wide browser window (1200 pixels or more).   Download SED & P(z) plots to view larger versions.
In P(z) plots: Yellow lines mark the cluster redshift z = 0.390,  

Object #1436   x,y = (956, 2848)   RA, Dec = (11:50:58.392, -28:04:44.40) = (177.74330, -28.07900)   BPZ = 0.363 [0.297--0.405]   type = 4.20 (Ell4_A_0 - ES0_B10)   stellarity = 0.03   chisq2 = 0.00   ODDS = 0.95   z_cluster = 0.390