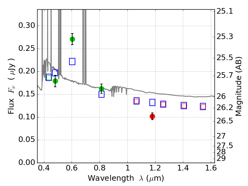
PLCKG287+32 IR detection object #1428

Color images and BPZ results
Catalog: 1428.cat
Black segments are analyzed here.   Roll mouse over color images to view segments.
Best viewed in a wide browser window (1200 pixels or more).   Download SED & P(z) plots to view larger versions.
In P(z) plots: Yellow lines mark the cluster redshift z = 0.390,  

Object #1428   x,y = (4583, 2868)   RA, Dec = (11:50:41.952, -28:04:43.32) = (177.67480, -28.07870)   BPZ = 0.045 [0.012--0.064]   type = 11.00 (SB11_A_0_l)   stellarity = 0.39   chisq2 = 11.15   ODDS = 0.98   z_cluster = 0.390