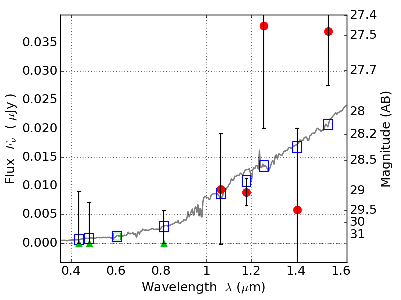
PLCKG287+32 IR detection object #1341

Color images and BPZ results
Catalog: 1341.cat
Black segments are analyzed here.   Roll mouse over color images to view segments.
Best viewed in a wide browser window (1200 pixels or more).   Download SED & P(z) plots to view larger versions.
In P(z) plots: Yellow lines mark the cluster redshift z = 0.390,  

Object #1341   x,y = (2624, 2944)   RA, Dec = (11:50:50.832, -28:04:39.00) = (177.71180, -28.07750)   BPZ = 1.470 [0.547--9.207]   type = 6.00 (Sbc_B10)   stellarity = 0.08   chisq2 = 1.22   ODDS = 0.09   z_cluster = 0.390