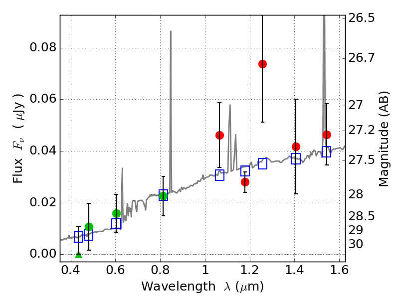
PLCKG287+32 IR detection object #1320

Color images and BPZ results
Catalog: 1320.cat
Black segments are analyzed here.   Roll mouse over color images to view segments.
Best viewed in a wide browser window (1200 pixels or more).   Download SED & P(z) plots to view larger versions.
In P(z) plots: Yellow lines mark the cluster redshift z = 0.390,  

Object #1320   x,y = (3611, 2959)   RA, Dec = (11:50:46.344, -28:04:37.92) = (177.69310, -28.07720)   BPZ = 0.686 [0.246--4.333]   type = 7.90 (SB1_B10 - Scd_B10)   stellarity = 0.06   chisq2 = 1.05   ODDS = 0.08   z_cluster = 0.390