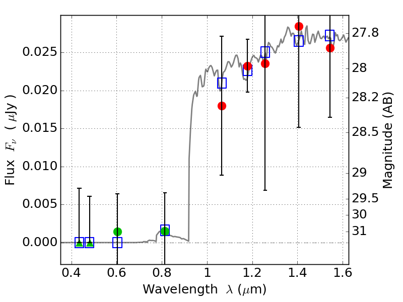
PLCKG287+32 IR detection object #1279

Color images and BPZ results
Catalog: 1279.cat
Black segments are analyzed here.   Roll mouse over color images to view segments.
Best viewed in a wide browser window (1200 pixels or more).   Download SED & P(z) plots to view larger versions.
In P(z) plots: Yellow lines mark the cluster redshift z = 0.390,  

Object #1279   x,y = (3666, 2983)   RA, Dec = (11:50:46.104, -28:04:36.48) = (177.69210, -28.07680)   BPZ = 6.559 [0.805--7.889]   type = 8.70 (SB2_B10 - SB1_B10)   stellarity = 0.77   chisq2 = 0.04   ODDS = 0.25   z_cluster = 0.390