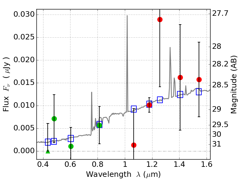
PLCKG287+32 IR detection object #1277

Color images and BPZ results
Catalog: 1277.cat
Black segments are analyzed here.   Roll mouse over color images to view segments.
Best viewed in a wide browser window (1200 pixels or more).   Download SED & P(z) plots to view larger versions.
In P(z) plots: Yellow lines mark the cluster redshift z = 0.390,  

Object #1277   x,y = (3029, 2985)   RA, Dec = (11:50:48.984, -28:04:36.48) = (177.70410, -28.07680)   BPZ = 1.030 [0.380--6.972]   type = 7.80 (SB1_B10 - Scd_B10)   stellarity = 0.35   chisq2 = 0.63   ODDS = 0.07   z_cluster = 0.390