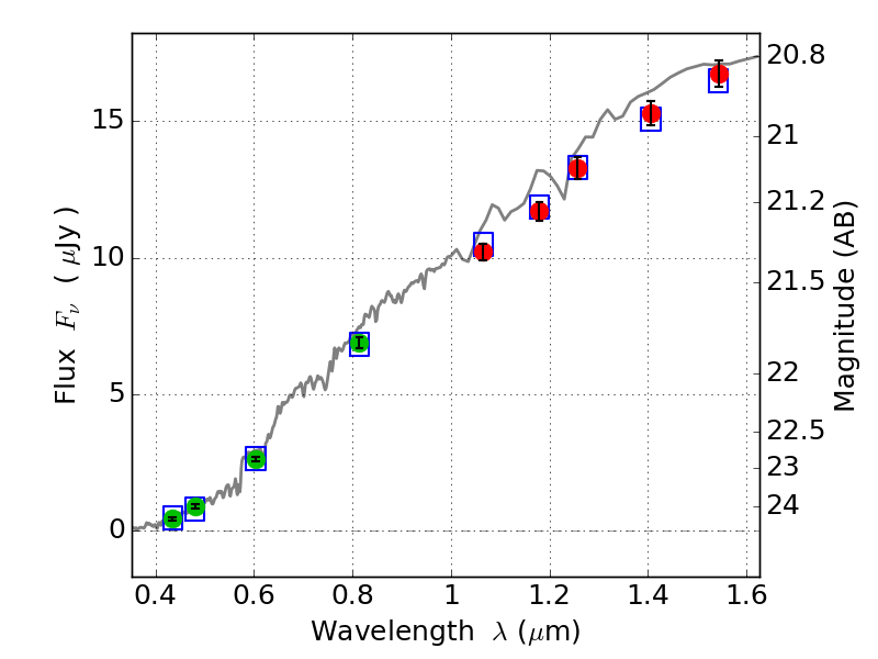
PLCKG287+32 IR detection object #124

Color images and BPZ results
Catalog: 124.cat
Black segments are analyzed here.   Roll mouse over color images to view segments.
Best viewed in a wide browser window (1200 pixels or more).   Download SED & P(z) plots to view larger versions.
In P(z) plots: Yellow lines mark the cluster redshift z = 0.390,  

Object #124   x,y = (2874, 3840)   RA, Dec = (11:50:49.680, -28:03:45.00) = (177.70700, -28.06250)   BPZ = 0.440 [0.345--0.478]   type = 3.30 (Ell5_A_0 - Ell4_A_0)   stellarity = 0.19   chisq2 = 0.03   ODDS = 0.85   z_cluster = 0.390