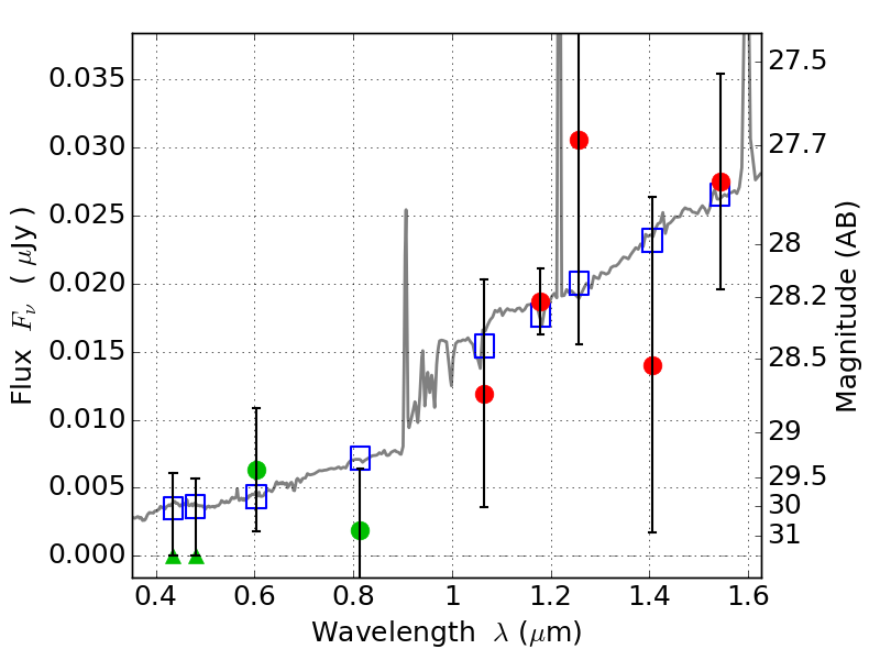
PLCKG287+32 IR detection object #115

Color images and BPZ results
Catalog: 115.cat
Black segments are analyzed here.   Roll mouse over color images to view segments.
Best viewed in a wide browser window (1200 pixels or more).   Download SED & P(z) plots to view larger versions.
In P(z) plots: Yellow lines mark the cluster redshift z = 0.390,  

Object #115   x,y = (2906, 3900)   RA, Dec = (11:50:49.536, -28:03:41.40) = (177.70640, -28.06150)   BPZ = 1.427 [0.578--7.918]   type = 7.50 (SB1_B10 - Scd_B10)   stellarity = 0.67   chisq2 = 0.56   ODDS = 0.11   z_cluster = 0.390