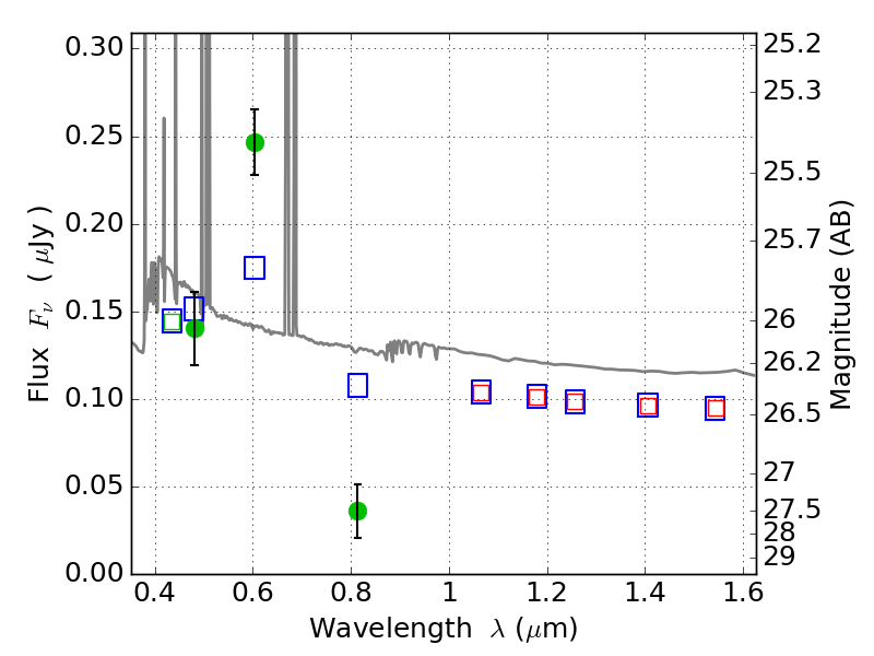
PLCKG287+32 ACS+IR detection object #7095

Color images and BPZ results
Catalog: 7095.cat
Black segments are analyzed here.   Roll mouse over color images to view segments.
Best viewed in a wide browser window (1200 pixels or more).   Download SED & P(z) plots to view larger versions.
In P(z) plots: Yellow lines mark the cluster redshift z = 0.390,  

Object #7095   x,y = (2362, 395)   RA, Dec = (11:50:52.008, -28:07:11.64) = (177.71670, -28.11990)   BPZ = 0.022 [0.010--0.058]   type = 11.00 (SB11_A_0_l)   stellarity = 0.99   chisq2 = 24.68   ODDS = 0.98   z_cluster = 0.390