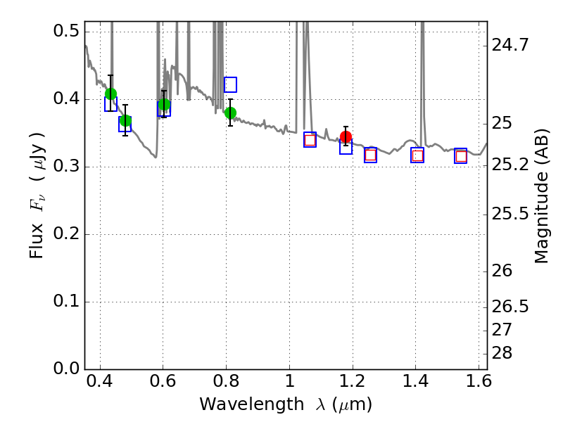
PLCKG287+32 ACS+IR detection object #6248

Color images and BPZ results
Catalog: 6248.cat
Black segments are analyzed here.   Roll mouse over color images to view segments.
Best viewed in a wide browser window (1200 pixels or more).   Download SED & P(z) plots to view larger versions.
In P(z) plots: Yellow lines mark the cluster redshift z = 0.390,  

Object #6248   x,y = (2488, 1165)   RA, Dec = (11:50:51.432, -28:06:25.56) = (177.71430, -28.10710)   BPZ = 0.567 [0.529--2.738]   type = 10.90 (SB11_A_0_l - SB3_B10)   stellarity = 0.02   chisq2 = 0.97   ODDS = 0.20   z_cluster = 0.390