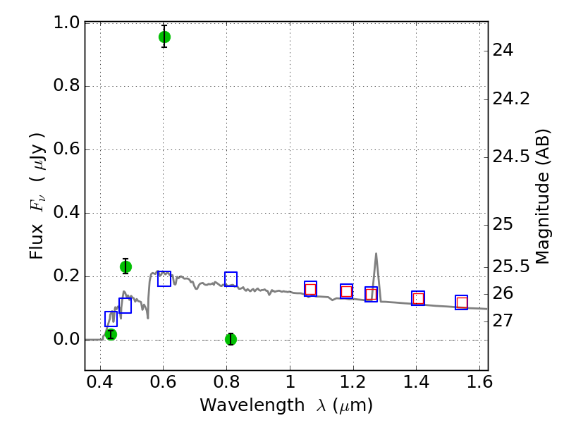
PLCKG287+32 ACS+IR detection object #6138

Color images and BPZ results
Catalog: 6138.cat
Black segments are analyzed here.   Roll mouse over color images to view segments.
Best viewed in a wide browser window (1200 pixels or more).   Download SED & P(z) plots to view larger versions.
In P(z) plots: Yellow lines mark the cluster redshift z = 0.390,  

Object #6138   x,y = (1450, 1280)   RA, Dec = (11:50:56.160, -28:06:18.72) = (177.73400, -28.10520)   BPZ = 3.555 [3.316--3.626]   type = 11.00 (SB11_A_0_l)   stellarity = 0.98   chisq2 = 537.38   ODDS = 0.91   z_cluster = 0.390