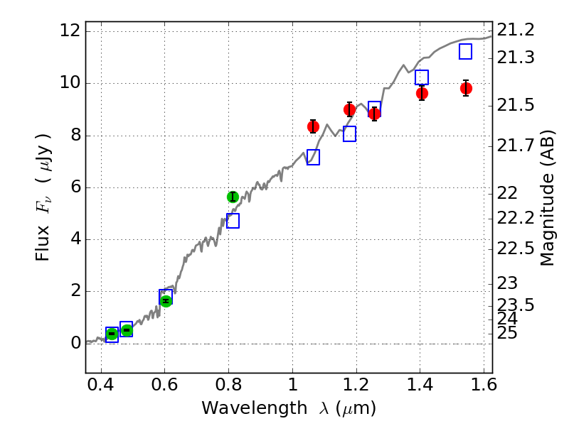
PLCKG287+32 ACS+IR detection object #5661

Color images and BPZ results
Catalog: 5661.cat
Black segments are analyzed here.   Roll mouse over color images to view segments.
Best viewed in a wide browser window (1200 pixels or more).   Download SED & P(z) plots to view larger versions.
In P(z) plots: Yellow lines mark the cluster redshift z = 0.390,  

Object #5661   x,y = (2514, 1490)   RA, Dec = (11:50:51.336, -28:06:06.12) = (177.71390, -28.10170)   BPZ = 0.466 [0.426--0.499]   type = 4.00 (Ell4_A_0)   stellarity = 0.98   chisq2 = 1.47   ODDS = 0.99   z_cluster = 0.390