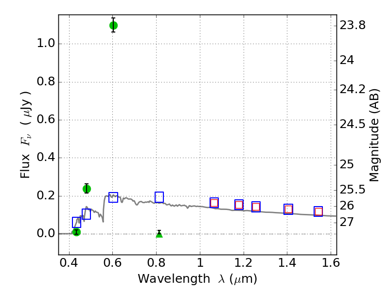
PLCKG287+32 ACS+IR detection object #5657

Color images and BPZ results
Catalog: 5657.cat
Black segments are analyzed here.   Roll mouse over color images to view segments.
Best viewed in a wide browser window (1200 pixels or more).   Download SED & P(z) plots to view larger versions.
In P(z) plots: Yellow lines mark the cluster redshift z = 0.390,  

Object #5657   x,y = (1167, 1562)   RA, Dec = (11:50:57.432, -28:06:01.80) = (177.73930, -28.10050)   BPZ = 3.586 [3.404--3.656]   type = 11.00 (SB11_A_0_l)   stellarity = 0.96   chisq2 = 624.32   ODDS = 0.98   z_cluster = 0.390