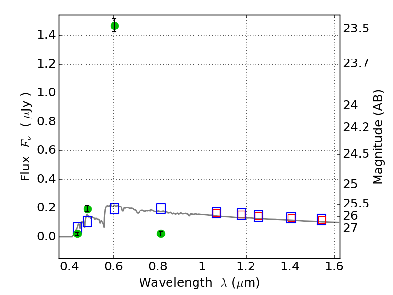
PLCKG287+32 ACS+IR detection object #5626

Color images and BPZ results
Catalog: 5626.cat
Black segments are analyzed here.   Roll mouse over color images to view segments.
Best viewed in a wide browser window (1200 pixels or more).   Download SED & P(z) plots to view larger versions.
In P(z) plots: Yellow lines mark the cluster redshift z = 0.390,  

Object #5626   x,y = (1140, 1575)   RA, Dec = (11:50:57.552, -28:06:01.08) = (177.73980, -28.10030)   BPZ = 3.576 [3.394--3.650]   type = 11.00 (SB11_A_0_l)   stellarity = 0.94   chisq2 = 747.85   ODDS = 0.98   z_cluster = 0.390