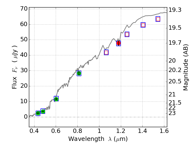
PLCKG287+32 ACS+IR detection object #5425

Color images and BPZ results
Catalog: 5425.cat
Black segments are analyzed here.   Roll mouse over color images to view segments.
Best viewed in a wide browser window (1200 pixels or more).   Download SED & P(z) plots to view larger versions.
In P(z) plots: Yellow lines mark the cluster redshift z = 0.390,  

Object #5425   x,y = (2822, 1657)   RA, Dec = (11:50:49.920, -28:05:56.04) = (177.70800, -28.09890)   BPZ = 0.374 [0.323--0.422]   type = 3.20 (Ell5_A_0 - Ell4_A_0)   stellarity = 0.03   chisq2 = 0.01   ODDS = 0.97   z_cluster = 0.390