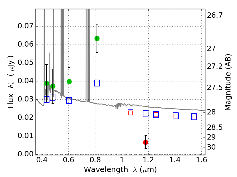
PLCKG287+32 ACS+IR detection object #5379

Color images and BPZ results
Catalog: 5379.cat
Black segments are analyzed here.   Roll mouse over color images to view segments.
Best viewed in a wide browser window (1200 pixels or more).   Download SED & P(z) plots to view larger versions.
In P(z) plots: Yellow lines mark the cluster redshift z = 0.390,  

Object #5379   x,y = (3556, 1774)   RA, Dec = (11:50:46.608, -28:05:48.84) = (177.69420, -28.09690)   BPZ = 0.118 [0.081--2.797]   type = 11.00 (SB11_A_0_l)   stellarity = 0.74   chisq2 = 12.04   ODDS = 0.56   z_cluster = 0.390