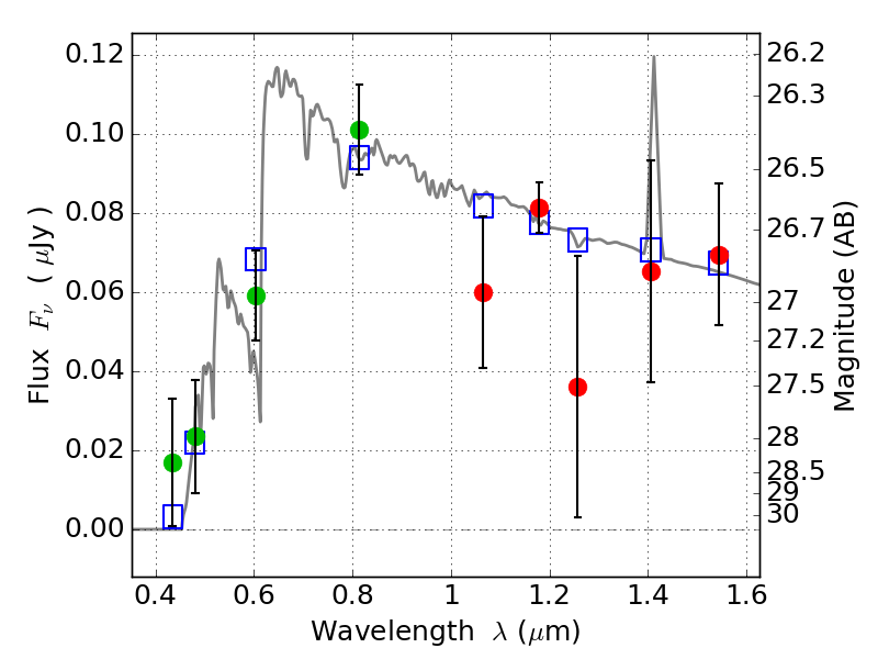
PLCKG287+32 ACS+IR detection object #5146

Color images and BPZ results
Catalog: 5146.cat
Black segments are analyzed here.   Roll mouse over color images to view segments.
Best viewed in a wide browser window (1200 pixels or more).   Download SED & P(z) plots to view larger versions.
In P(z) plots: Yellow lines mark the cluster redshift z = 0.390,  

Object #5146   x,y = (2581, 1953)   RA, Dec = (11:50:51.024, -28:05:38.40) = (177.71260, -28.09400)   BPZ = 4.047 [0.370--4.415]   type = 10.70 (SB11_A_0_l - SB3_B10)   stellarity = 0.00   chisq2 = 0.68   ODDS = 0.59   z_cluster = 0.390