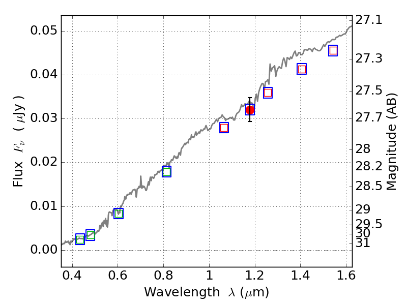
PLCKG287+32 ACS+IR detection object #5124

Color images and BPZ results
Catalog: 5124.cat
Black segments are analyzed here.   Roll mouse over color images to view segments.
Best viewed in a wide browser window (1200 pixels or more).   Download SED & P(z) plots to view larger versions.
In P(z) plots: Yellow lines mark the cluster redshift z = 0.390,  

Object #5124   x,y = (653, 2023)   RA, Dec = (11:50:59.760, -28:05:34.08) = (177.74900, -28.09280)   BPZ = 0.403 [0.051--0.865]   type = 6.00 (Sbc_B10)   stellarity = 0.90   chisq2 = 990.00   ODDS = 0.21   z_cluster = 0.390