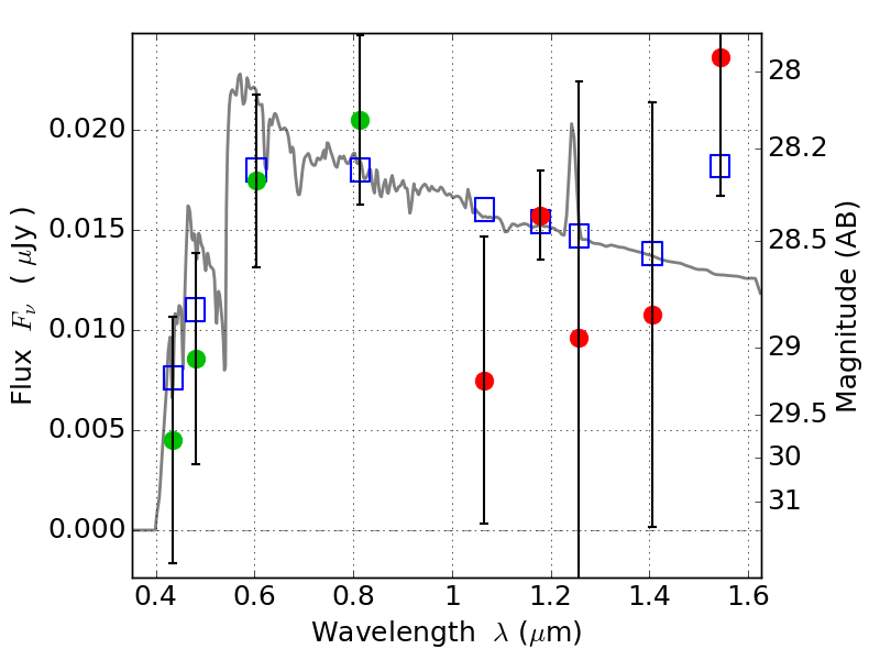
PLCKG287+32 ACS+IR detection object #5080

Color images and BPZ results
Catalog: 5080.cat
Black segments are analyzed here.   Roll mouse over color images to view segments.
Best viewed in a wide browser window (1200 pixels or more).   Download SED & P(z) plots to view larger versions.
In P(z) plots: Yellow lines mark the cluster redshift z = 0.390,  

Object #5080   x,y = (1974, 2006)   RA, Dec = (11:50:53.784, -28:05:35.16) = (177.72410, -28.09310)   BPZ = 3.453 [0.177--4.052]   type = 10.40 (SB3_B10 - SB11_A_0_l)   stellarity = 0.47   chisq2 = 0.50   ODDS = 0.25   z_cluster = 0.390