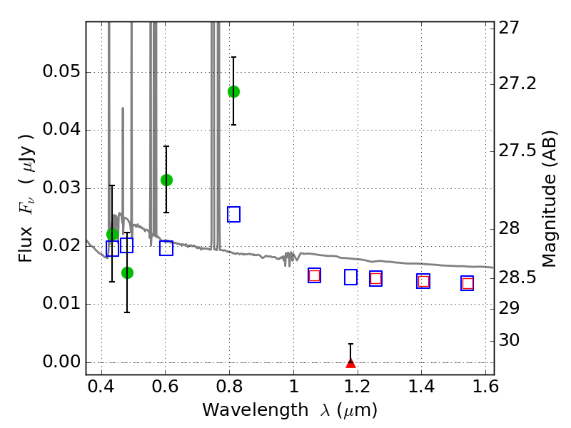
PLCKG287+32 ACS+IR detection object #5038

Color images and BPZ results
Catalog: 5038.cat
Black segments are analyzed here.   Roll mouse over color images to view segments.
Best viewed in a wide browser window (1200 pixels or more).   Download SED & P(z) plots to view larger versions.
In P(z) plots: Yellow lines mark the cluster redshift z = 0.390,  

Object #5038   x,y = (3941, 2031)   RA, Dec = (11:50:44.856, -28:05:33.72) = (177.68690, -28.09270)   BPZ = 0.136 [0.084--2.972]   type = 11.00 (SB11_A_0_l)   stellarity = 0.20   chisq2 = 16.60   ODDS = 0.52   z_cluster = 0.390