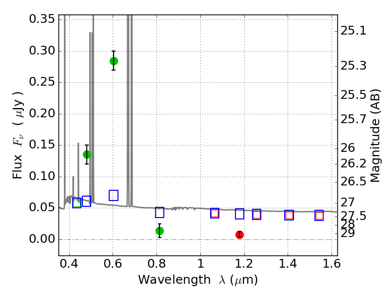
PLCKG287+32 ACS+IR detection object #5022

Color images and BPZ results
Catalog: 5022.cat
Black segments are analyzed here.   Roll mouse over color images to view segments.
Best viewed in a wide browser window (1200 pixels or more).   Download SED & P(z) plots to view larger versions.
In P(z) plots: Yellow lines mark the cluster redshift z = 0.390,  

Object #5022   x,y = (4663, 3007)   RA, Dec = (11:50:41.568, -28:04:35.04) = (177.67320, -28.07640)   BPZ = 0.022 [0.010--2.801]   type = 11.00 (SB11_A_0_l)   stellarity = 0.94   chisq2 = 238.42   ODDS = 0.84   z_cluster = 0.390