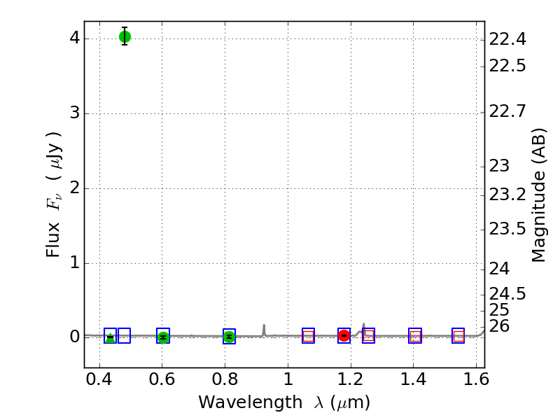
PLCKG287+32 ACS+IR detection object #4977

Color images and BPZ results
Catalog: 4977.cat
Black segments are analyzed here.   Roll mouse over color images to view segments.
Best viewed in a wide browser window (1200 pixels or more).   Download SED & P(z) plots to view larger versions.
In P(z) plots: Yellow lines mark the cluster redshift z = 0.390,  

Object #4977   x,y = (730, 1992)   RA, Dec = (11:50:59.424, -28:05:35.88) = (177.74760, -28.09330)   BPZ = 1.480 [0.255--3.583]   type = 10.50 (SB11_A_0_l - SB3_B10)   stellarity = 1.00   chisq2 = 567.59   ODDS = 0.08   z_cluster = 0.390