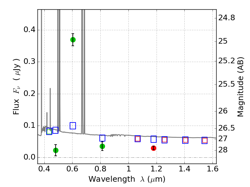
PLCKG287+32 ACS+IR detection object #4963

Color images and BPZ results
Catalog: 4963.cat
Black segments are analyzed here.   Roll mouse over color images to view segments.
Best viewed in a wide browser window (1200 pixels or more).   Download SED & P(z) plots to view larger versions.
In P(z) plots: Yellow lines mark the cluster redshift z = 0.390,  

Object #4963   x,y = (4691, 3014)   RA, Dec = (11:50:41.448, -28:04:34.68) = (177.67270, -28.07630)   BPZ = 0.019 [0.010--0.056]   type = 11.00 (SB11_A_0_l)   stellarity = 0.99   chisq2 = 205.80   ODDS = 0.99   z_cluster = 0.390