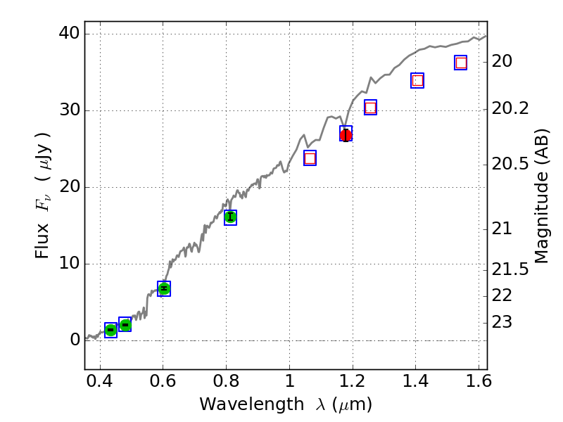
PLCKG287+32 ACS+IR detection object #4682

Color images and BPZ results
Catalog: 4682.cat
Black segments are analyzed here.   Roll mouse over color images to view segments.
Best viewed in a wide browser window (1200 pixels or more).   Download SED & P(z) plots to view larger versions.
In P(z) plots: Yellow lines mark the cluster redshift z = 0.390,  

Object #4682   x,y = (828, 2212)   RA, Dec = (11:50:58.968, -28:05:22.92) = (177.74570, -28.08970)   BPZ = 0.380 [0.320--0.426]   type = 3.20 (Ell5_A_0 - Ell4_A_0)   stellarity = 0.03   chisq2 = 0.01   ODDS = 0.96   z_cluster = 0.390