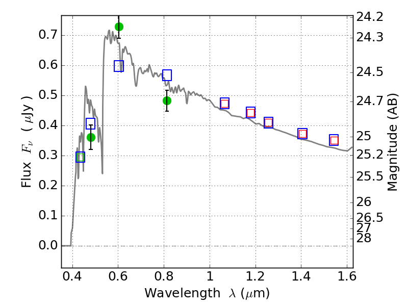
PLCKG287+32 ACS+IR detection object #4575

Color images and BPZ results
Catalog: 4575.cat
Black segments are analyzed here.   Roll mouse over color images to view segments.
Best viewed in a wide browser window (1200 pixels or more).   Download SED & P(z) plots to view larger versions.
In P(z) plots: Yellow lines mark the cluster redshift z = 0.390,  

Object #4575   x,y = (443, 2276)   RA, Dec = (11:51:00.720, -28:05:18.96) = (177.75300, -28.08860)   BPZ = 3.383 [3.020--3.541]   type = 11.00 (SB11_A_0_l)   stellarity = 0.91   chisq2 = 8.68   ODDS = 0.91   z_cluster = 0.390