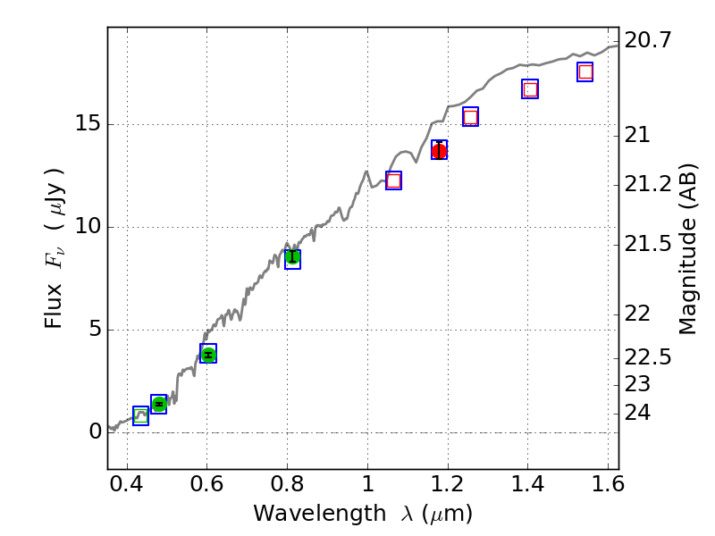
PLCKG287+32 ACS+IR detection object #4447

Color images and BPZ results
Catalog: 4447.cat
Black segments are analyzed here.   Roll mouse over color images to view segments.
Best viewed in a wide browser window (1200 pixels or more).   Download SED & P(z) plots to view larger versions.
In P(z) plots: Yellow lines mark the cluster redshift z = 0.390,  

Object #4447   x,y = (4292, 2309)   RA, Dec = (11:50:43.248, -28:05:16.80) = (177.68020, -28.08800)   BPZ = 0.316 [0.242--0.373]   type = 3.40 (Ell5_A_0 - Ell4_A_0)   stellarity = 0.03   chisq2 = 0.02   ODDS = 0.88   z_cluster = 0.390