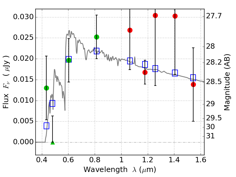
PLCKG287+32 ACS+IR detection object #4315

Color images and BPZ results
Catalog: 4315.cat
Black segments are analyzed here.   Roll mouse over color images to view segments.
Best viewed in a wide browser window (1200 pixels or more).   Download SED & P(z) plots to view larger versions.
In P(z) plots: Yellow lines mark the cluster redshift z = 0.390,  

Object #4315   x,y = (1887, 2443)   RA, Dec = (11:50:54.168, -28:05:08.88) = (177.72570, -28.08580)   BPZ = 3.739 [0.174--4.362]   type = 10.50 (SB11_A_0_l - SB3_B10)   stellarity = 0.11   chisq2 = 1.05   ODDS = 0.24   z_cluster = 0.390