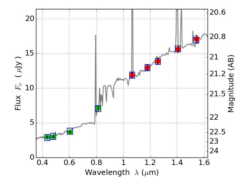
PLCKG287+32 ACS+IR detection object #4297

Color images and BPZ results
Catalog: 4297.cat
Black segments are analyzed here.   Roll mouse over color images to view segments.
Best viewed in a wide browser window (1200 pixels or more).   Download SED & P(z) plots to view larger versions.
In P(z) plots: Yellow lines mark the cluster redshift z = 0.390,  

Object #4297   x,y = (1892, 2348)   RA, Dec = (11:50:54.144, -28:05:14.64) = (177.72560, -28.08740)   BPZ = 1.132 [1.075--1.190]   type = 8.00 (SB1_B10)   stellarity = 0.03   chisq2 = 0.01   ODDS = 0.99   z_cluster = 0.390