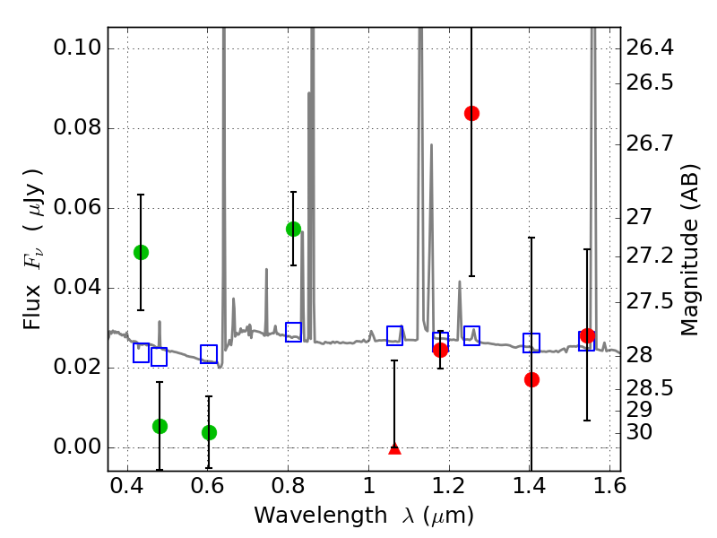
PLCKG287+32 ACS+IR detection object #4239

Color images and BPZ results
Catalog: 4239.cat
Black segments are analyzed here.   Roll mouse over color images to view segments.
Best viewed in a wide browser window (1200 pixels or more).   Download SED & P(z) plots to view larger versions.
In P(z) plots: Yellow lines mark the cluster redshift z = 0.390,  

Object #4239   x,y = (1581, 2429)   RA, Dec = (11:50:55.560, -28:05:09.60) = (177.73150, -28.08600)   BPZ = 0.718 [0.127--4.837]   type = 10.40 (SB3_B10 - SB11_A_0_l)   stellarity = 0.00   chisq2 = 3.52   ODDS = 0.13   z_cluster = 0.390