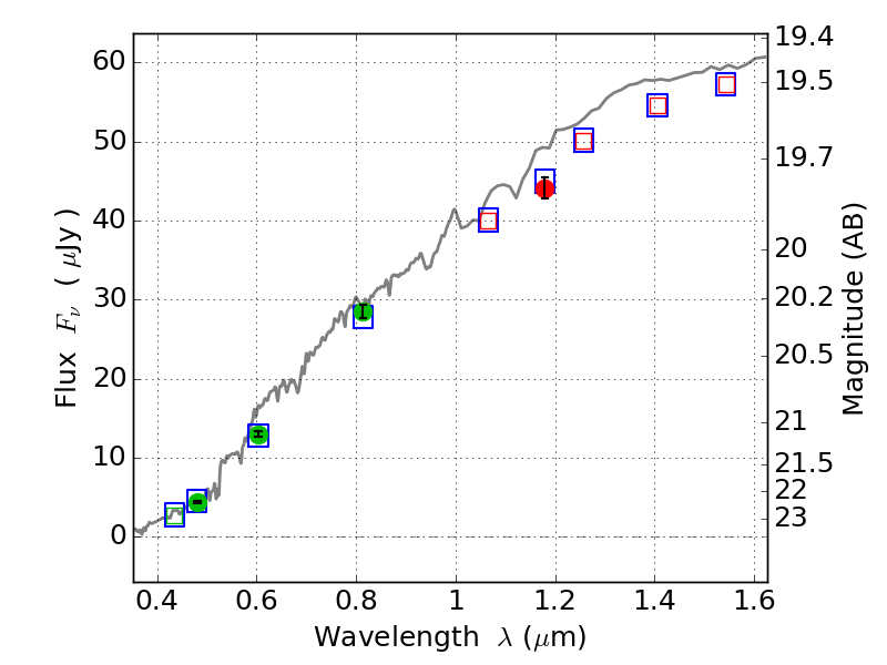
PLCKG287+32 ACS+IR detection object #4106

Color images and BPZ results
Catalog: 4106.cat
Black segments are analyzed here.   Roll mouse over color images to view segments.
Best viewed in a wide browser window (1200 pixels or more).   Download SED & P(z) plots to view larger versions.
In P(z) plots: Yellow lines mark the cluster redshift z = 0.390,  

Object #4106   x,y = (4314, 2469)   RA, Dec = (11:50:43.152, -28:05:07.44) = (177.67980, -28.08540)   BPZ = 0.322 [0.248--0.350]   type = 3.80 (Ell4_A_0 - Ell5_A_0)   stellarity = 0.03   chisq2 = 0.09   ODDS = 0.92   z_cluster = 0.390