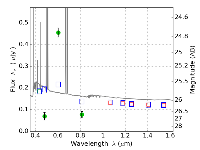
PLCKG287+32 ACS+IR detection object #4092

Color images and BPZ results
Catalog: 4092.cat
Black segments are analyzed here.   Roll mouse over color images to view segments.
Best viewed in a wide browser window (1200 pixels or more).   Download SED & P(z) plots to view larger versions.
In P(z) plots: Yellow lines mark the cluster redshift z = 0.390,  

Object #4092   x,y = (193, 2494)   RA, Dec = (11:51:01.848, -28:05:06.00) = (177.75770, -28.08500)   BPZ = 0.017 [0.010--0.042]   type = 11.00 (SB11_A_0_l)   stellarity = 1.00   chisq2 = 127.48   ODDS = 1.00   z_cluster = 0.390