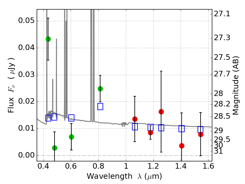
PLCKG287+32 ACS+IR detection object #4043

Color images and BPZ results
Catalog: 4043.cat
Black segments are analyzed here.   Roll mouse over color images to view segments.
Best viewed in a wide browser window (1200 pixels or more).   Download SED & P(z) plots to view larger versions.
In P(z) plots: Yellow lines mark the cluster redshift z = 0.390,  

Object #4043   x,y = (1872, 3034)   RA, Dec = (11:50:54.240, -28:04:33.24) = (177.72600, -28.07590)   BPZ = 0.136 [0.096--3.069]   type = 11.00 (SB11_A_0_l)   stellarity = 0.09   chisq2 = 3.70   ODDS = 0.17   z_cluster = 0.390