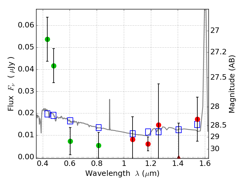
PLCKG287+32 ACS+IR detection object #3940

Color images and BPZ results
Catalog: 3940.cat
Black segments are analyzed here.   Roll mouse over color images to view segments.
Best viewed in a wide browser window (1200 pixels or more).   Download SED & P(z) plots to view larger versions.
In P(z) plots: Yellow lines mark the cluster redshift z = 0.390,  

Object #3940   x,y = (1577, 2947)   RA, Dec = (11:50:55.560, -28:04:38.64) = (177.73150, -28.07740)   BPZ = 2.204 [1.232--2.773]   type = 11.00 (SB11_A_0_l)   stellarity = 0.01   chisq2 = 4.53   ODDS = 0.33   z_cluster = 0.390