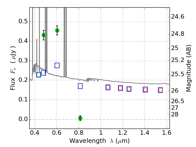
PLCKG287+32 ACS+IR detection object #3897

Color images and BPZ results
Catalog: 3897.cat
Black segments are analyzed here.   Roll mouse over color images to view segments.
Best viewed in a wide browser window (1200 pixels or more).   Download SED & P(z) plots to view larger versions.
In P(z) plots: Yellow lines mark the cluster redshift z = 0.390,  

Object #3897   x,y = (177, 2575)   RA, Dec = (11:51:01.920, -28:05:00.96) = (177.75800, -28.08360)   BPZ = 0.022 [0.010--0.038]   type = 11.00 (SB11_A_0_l)   stellarity = 0.94   chisq2 = 129.95   ODDS = 1.00   z_cluster = 0.390