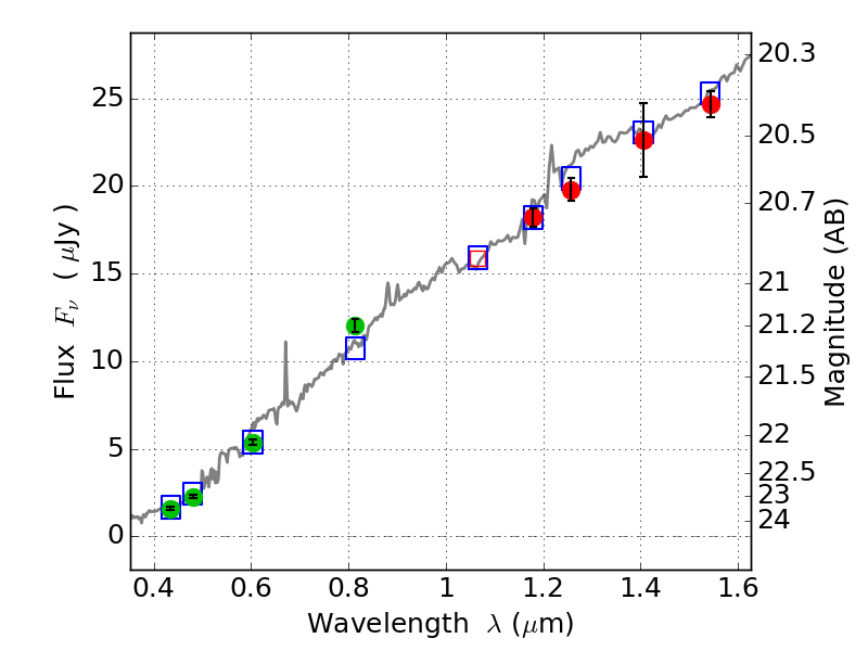
PLCKG287+32 ACS+IR detection object #3832

Color images and BPZ results
Catalog: 3832.cat
Black segments are analyzed here.   Roll mouse over color images to view segments.
Best viewed in a wide browser window (1200 pixels or more).   Download SED & P(z) plots to view larger versions.
In P(z) plots: Yellow lines mark the cluster redshift z = 0.390,  

Object #3832   x,y = (1328, 2935)   RA, Dec = (11:50:56.712, -28:04:39.36) = (177.73630, -28.07760)   BPZ = 0.344 [0.216--0.450]   type = 6.20 (Sbc_B10 - Scd_B10)   stellarity = 0.03   chisq2 = 0.17   ODDS = 0.52   z_cluster = 0.390