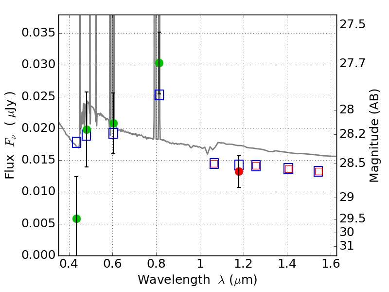
PLCKG287+32 ACS+IR detection object #3820

Color images and BPZ results
Catalog: 3820.cat
Black segments are analyzed here.   Roll mouse over color images to view segments.
Best viewed in a wide browser window (1200 pixels or more).   Download SED & P(z) plots to view larger versions.
In P(z) plots: Yellow lines mark the cluster redshift z = 0.390,  

Object #3820   x,y = (858, 2605)   RA, Dec = (11:50:58.824, -28:04:59.16) = (177.74510, -28.08310)   BPZ = 0.207 [0.096--3.666]   type = 11.00 (SB11_A_0_l)   stellarity = 0.70   chisq2 = 2.14   ODDS = 0.20   z_cluster = 0.390