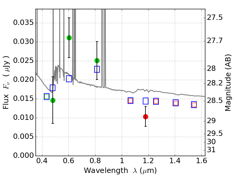
PLCKG287+32 ACS+IR detection object #3589

Color images and BPZ results
Catalog: 3589.cat
Black segments are analyzed here.   Roll mouse over color images to view segments.
Best viewed in a wide browser window (1200 pixels or more).   Download SED & P(z) plots to view larger versions.
In P(z) plots: Yellow lines mark the cluster redshift z = 0.390,  

Object #3589   x,y = (4414, 2806)   RA, Dec = (11:50:42.696, -28:04:47.28) = (177.67790, -28.07980)   BPZ = 0.299 [0.070--3.537]   type = 11.00 (SB11_A_0_l)   stellarity = 0.64   chisq2 = 6.18   ODDS = 0.10   z_cluster = 0.390