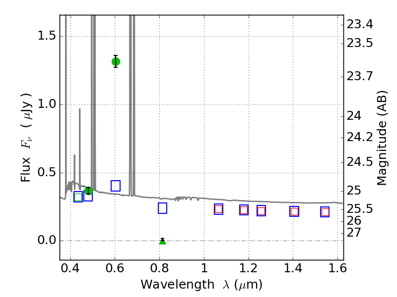
PLCKG287+32 ACS+IR detection object #3408

Color images and BPZ results
Catalog: 3408.cat
Black segments are analyzed here.   Roll mouse over color images to view segments.
Best viewed in a wide browser window (1200 pixels or more).   Download SED & P(z) plots to view larger versions.
In P(z) plots: Yellow lines mark the cluster redshift z = 0.390,  

Object #3408   x,y = (4872, 2778)   RA, Dec = (11:50:40.632, -28:04:48.72) = (177.66930, -28.08020)   BPZ = 0.016 [0.010--0.032]   type = 11.00 (SB11_A_0_l)   stellarity = 0.96   chisq2 = 385.58   ODDS = 1.00   z_cluster = 0.390