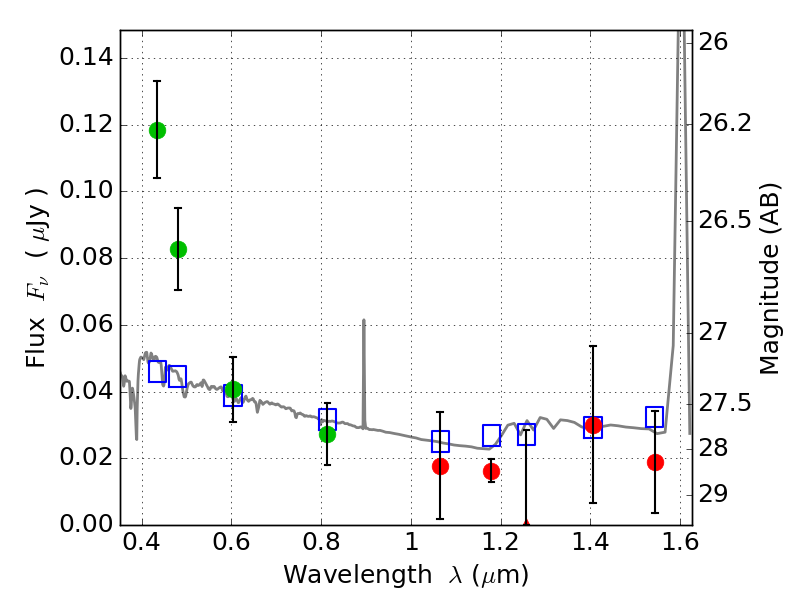
PLCKG287+32 ACS+IR detection object #2909

Color images and BPZ results
Catalog: 2909.cat
Black segments are analyzed here.   Roll mouse over color images to view segments.
Best viewed in a wide browser window (1200 pixels or more).   Download SED & P(z) plots to view larger versions.
In P(z) plots: Yellow lines mark the cluster redshift z = 0.390,  

Object #2909   x,y = (2702, 3117)   RA, Dec = (11:50:50.472, -28:04:28.56) = (177.71030, -28.07460)   BPZ = 2.205 [1.891--2.675]   type = 11.00 (SB11_A_0_l)   stellarity = 0.01   chisq2 = 6.64   ODDS = 0.44   z_cluster = 0.390