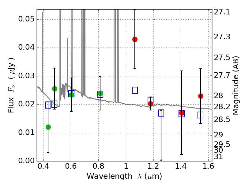
PLCKG287+32 ACS+IR detection object #2842

Color images and BPZ results
Catalog: 2842.cat
Black segments are analyzed here.   Roll mouse over color images to view segments.
Best viewed in a wide browser window (1200 pixels or more).   Download SED & P(z) plots to view larger versions.
In P(z) plots: Yellow lines mark the cluster redshift z = 0.390,  

Object #2842   x,y = (2555, 3152)   RA, Dec = (11:50:51.144, -28:04:26.40) = (177.71310, -28.07400)   BPZ = 0.397 [0.143--3.548]   type = 11.00 (SB11_A_0_l)   stellarity = 0.35   chisq2 = 0.95   ODDS = 0.07   z_cluster = 0.390