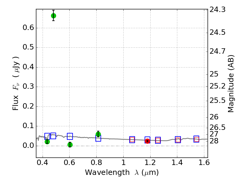
PLCKG287+32 ACS+IR detection object #2772

Color images and BPZ results
Catalog: 2772.cat
Black segments are analyzed here.   Roll mouse over color images to view segments.
Best viewed in a wide browser window (1200 pixels or more).   Download SED & P(z) plots to view larger versions.
In P(z) plots: Yellow lines mark the cluster redshift z = 0.390,  

Object #2772   x,y = (4449, 3214)   RA, Dec = (11:50:42.552, -28:04:22.44) = (177.67730, -28.07290)   BPZ = 2.598 [0.087--2.916]   type = 11.00 (SB11_A_0_l)   stellarity = 0.75   chisq2 = 256.79   ODDS = 0.39   z_cluster = 0.390