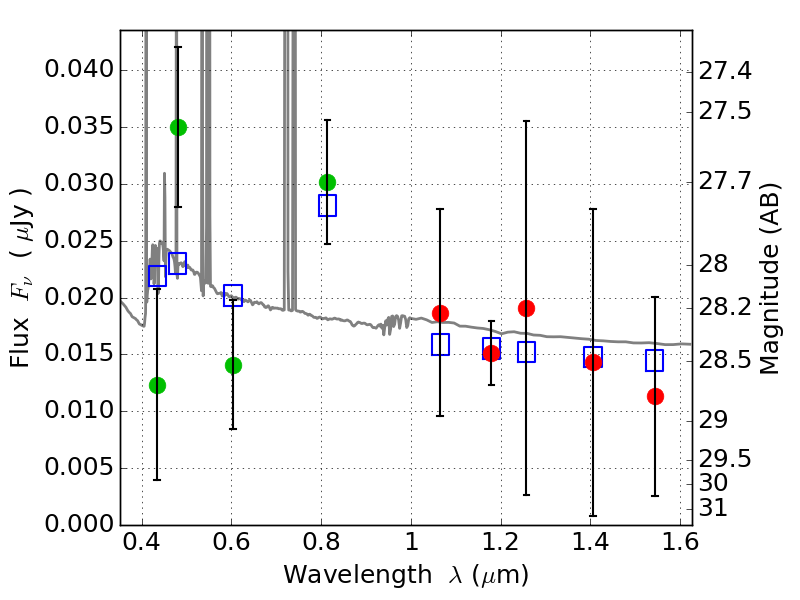
PLCKG287+32 ACS+IR detection object #2674

Color images and BPZ results
Catalog: 2674.cat
Black segments are analyzed here.   Roll mouse over color images to view segments.
Best viewed in a wide browser window (1200 pixels or more).   Download SED & P(z) plots to view larger versions.
In P(z) plots: Yellow lines mark the cluster redshift z = 0.390,  

Object #2674   x,y = (2076, 3273)   RA, Dec = (11:50:53.304, -28:04:19.20) = (177.72210, -28.07200)   BPZ = 0.096 [0.083--3.241]   type = 11.00 (SB11_A_0_l)   stellarity = 0.63   chisq2 = 0.90   ODDS = 0.15   z_cluster = 0.390