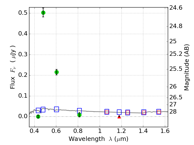
PLCKG287+32 ACS+IR detection object #2479

Color images and BPZ results
Catalog: 2479.cat
Black segments are analyzed here.   Roll mouse over color images to view segments.
Best viewed in a wide browser window (1200 pixels or more).   Download SED & P(z) plots to view larger versions.
In P(z) plots: Yellow lines mark the cluster redshift z = 0.390,  

Object #2479   x,y = (4305, 3373)   RA, Dec = (11:50:43.200, -28:04:13.08) = (177.68000, -28.07030)   BPZ = 2.804 [0.024--2.955]   type = 11.00 (SB11_A_0_l)   stellarity = 0.78   chisq2 = 335.79   ODDS = 0.74   z_cluster = 0.390