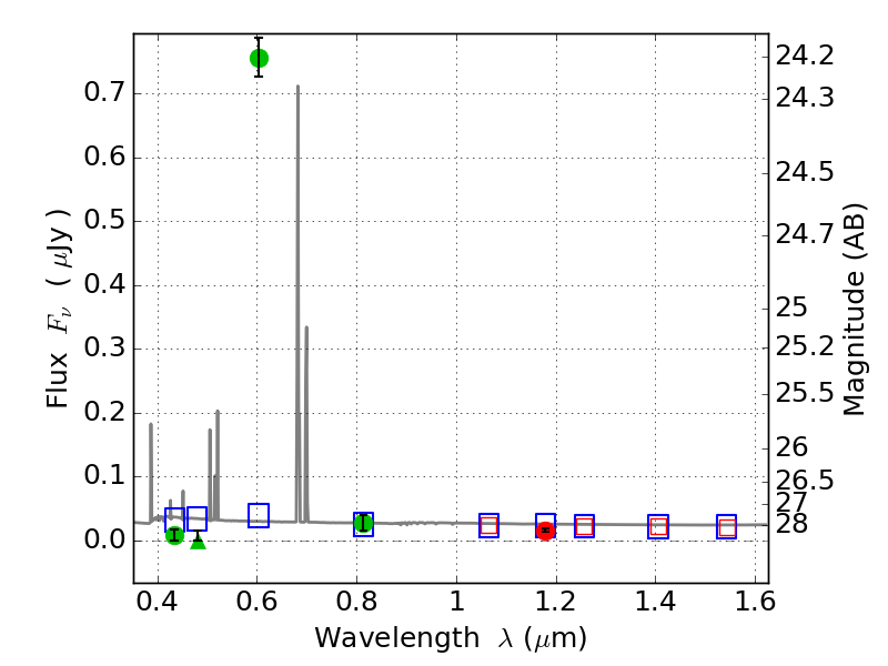
PLCKG287+32 ACS+IR detection object #2372

Color images and BPZ results
Catalog: 2372.cat
Black segments are analyzed here.   Roll mouse over color images to view segments.
Best viewed in a wide browser window (1200 pixels or more).   Download SED & P(z) plots to view larger versions.
In P(z) plots: Yellow lines mark the cluster redshift z = 0.390,  

Object #2372   x,y = (4279, 3430)   RA, Dec = (11:50:43.320, -28:04:09.48) = (177.68050, -28.06930)   BPZ = 0.040 [0.025--3.591]   type = 11.00 (SB11_A_0_l)   stellarity = 0.86   chisq2 = 298.15   ODDS = 0.09   z_cluster = 0.390