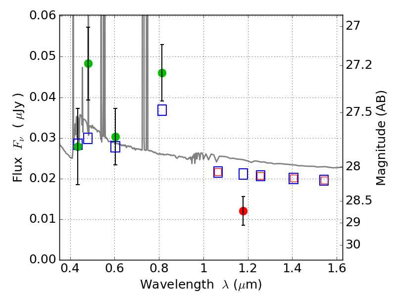
PLCKG287+32 ACS+IR detection object #2213

Color images and BPZ results
Catalog: 2213.cat
Black segments are analyzed here.   Roll mouse over color images to view segments.
Best viewed in a wide browser window (1200 pixels or more).   Download SED & P(z) plots to view larger versions.
In P(z) plots: Yellow lines mark the cluster redshift z = 0.390,  

Object #2213   x,y = (1723, 3525)   RA, Dec = (11:50:54.912, -28:04:04.08) = (177.72880, -28.06780)   BPZ = 0.112 [0.076--3.019]   type = 11.00 (SB11_A_0_l)   stellarity = 0.16   chisq2 = 5.01   ODDS = 0.31   z_cluster = 0.390