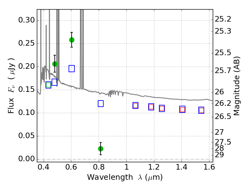
PLCKG287+32 ACS+IR detection object #21

Color images and BPZ results
Catalog: 21.cat
Black segments are analyzed here.   Roll mouse over color images to view segments.
Best viewed in a wide browser window (1200 pixels or more).   Download SED & P(z) plots to view larger versions.
In P(z) plots: Yellow lines mark the cluster redshift z = 0.390,  

Object #21   x,y = (2803, 4949)   RA, Dec = (11:50:50.016, -28:02:38.40) = (177.70840, -28.04400)   BPZ = 0.021 [0.010--0.042]   type = 11.00 (SB11_A_0_l)   stellarity = 0.95   chisq2 = 39.92   ODDS = 1.00   z_cluster = 0.390